Der Artikel erläutert die Vorteile, die Kausalanalysen für das Risikomanagement bieten, und geht insbesondere auf den Differenz-von-Differenzen-Ansatz ein. Dieses Verfahren wird anhand einer kürzlich erschienenen Studie zu Outputpreisrigiditäten und Kreditaufschlägen veranschaulicht. Der Artikel beschreibt zentrale Anforderungen des Verfahrens, die erfüllt werden müssen, um es im Risikomanagement von Finanzinstituten praktisch anzuwenden.
Ökonometrische bzw. Machine Learning-Verfahren sind zur Schätzung des Kreditrisikos im Rahmen der Auflagen des Basel Commitee on Banking Supervision (BCBS) etabliert. Eine übliche Anwendung hierfür ist die Schätzung von Logit- oder Probitmodellen, bei denen der Kreditausfall die abhängige Variable darstellt und Eigenschaften der Kreditnehmer, Eigenschaften des Kredits sowie makroökonomische Größen als erklärende (unabhängige) Variablen verwendet werden (vgl. Fingerlos, Golla, Pastwa, Gluchowski und Gabriel, 2020, S. 155 ff.). Mit Hilfe dieser Verfahren können für alle Kreditnehmer Wahrscheinlichkeiten eines Kreditausfalls berechnet werden, was einen zentralen Punkt des Risikomanagements von Finanzinstituten darstellt.
Dieser Artikel beleuchtet eine weitere Möglichkeit, wie ökonometrische Verfahren zur Schätzung des Kreditrisikos von Finanzinstituten genutzt werden können. Während im oben beschriebenen Ansatz die Vorhersage der Kreditausfallwahrscheinlichkeit die zentrale Variable darstellt, fokussiert dieser Artikel auf die Beziehung zwischen den erklärenden Variablen und der abhängigen Variablen – in diesem Beispiel der abhängigen Variablen (Kreditausfallwahrscheinlichkeit).
Beispielsweise können die ökonometrischen Verfahren genutzt werden, um eine Aussage zu treffen, welchen Einfluss der Zinssatz auf die Kreditausfallwahrscheinlichkeit hat. Die Erkenntnisse aus solchen Analysen anhand von historischen Daten können dann genutzt werden, um künftige Entscheidungen über Kreditzinsen zu treffen. Sollte sich herausstellen, dass Kreditaufschläge für hohe Risiken die Wahrscheinlichkeit eines Kreditausfalls kausal zu erhöhen, dann sollte eine Finanzinstitut Kreditaufschläge entweder reduzieren oder Kredite bei hohen Risiken erst gar nicht vergeben.
Aus ökonometrischer Sicht ist die Bestimmung des Effektes von erklärenden Variablen auf die Kreditausfallwahrscheinlichkeit nicht trivial. Hierzu bedarf es der Trennung des kausalen Effektes von scheinbaren Effekten (Angrist und Pischke, 2009, S. 12 ff.; Geromichalos 2021). Im oben genannten Beispiel wird es oft so sein, dass Kreditnehmer mit einem höheren Kreditausfallrisiko höhere Zinsen zu zahlen haben, da die Bank ihre Einschätzung der Ausfallwahrscheinlichkeit bei der Bestimmung des individuellen Zinssatzes mit einfließen lässt. Wenn man dies in dem ökonometrischen Modell nicht berücksichtigt, ergibt sich eine Überschätzung des Zinssatzeffektes.
Dieser Artikel beschreibt anhand einer neulich erschienenen Studie den Differenz-von-Differenzen-Ansatz, der verwendet werden kann, um kausale Effekte zu messen. Der Ansatz stammt ursprünglich aus der empirischen Arbeitsmarktökonomik und ist eine der Methoden, für die Joshua Angrist, David Card und Guido Imbens 2021 den Wirtschaftsnobelpreis erhalten haben (Mealli, 2021). Während die Methode in den Wirtschaftswissenschaften schon länger etabliert ist, ist sie in der wirtschaftlichen Praxis erst in den letzten Jahren populär geworden, u. a. bei modernen Technologieunternehmen wie Amazon, Microsoft oder Netflix (Causal Data Science Meeting, 2022). Auch im operationalen Risikomanagement gibt es Anwendungsfälle (Geromichalos 2021).
Im nächsten Abschnitt wird anhand der Studie von Augustin, Cong, Corhay und Weber (2021) eine Anwendung des Differenz-von-Differenzen-Ansatzes skizziert, die sich mit dem Kreditrisiko beschäftigt. Hierbei werden Herausforderungen bei der Schätzung von kausalen Effekten diskutiert. Der darauffolgende dritte Abschnitt diskutiert Anwendungsmöglichkeiten im Risikomanagement und bietet einen Ausblick.
Vorstellung des Difference-in-Differences-Ansatzes anhand der Studie von Augustin, Cong, Corhay und Weber (2021)
Das Papier von Augustin, Cong, Corhay und Weber (2021) untersucht anhand von Firmendaten aus den USA für den Zeitraum zwischen 1982 und 2018 das Kreditrisiko von Unternehmen und hier insbesondere, ob Outputpreisrigiditäten zu einem höheren Kreditrisiko führen. Outputpreisrigiditäten können zum Beispiel dadurch entstehen, dass Preisanpassungen mit hohen Kosten verbunden sind, beispielsweise wenn Preise in Verträgen fixiert sind. Die Autoren argumentieren, dass Unternehmen, die die Preise ihrer Produkte nicht als Reaktion auf Schocks anpassen können (sei es als Reaktion auf Nachfrage- oder Angebotsschocks), öfter in Situationen sind, in denen sie ihre Produkte zu ineffizienten Preisen verkaufen müssen. Dies führt dazu, dass bei diesen Unternehmen das Verhältnis von Einzahlungen und Auszahlungen (Cash-Flow) volatiler ist, was direkt zu einem höheren Kreditausfallrisiko führt. Das höhere Kreditrisiko wiederum führt zu höheren Kreditaufschlägen.
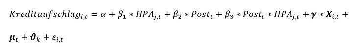
Die Ausgangsgleichung für die Schätzung der linearen Regression, in der der Kreditaufschlag von Firma i zum Zeitpunkt t die zu erklärende Variable darstellt, ist die folgende:
α ist die Konstante. HPA ist eine Variable, die die Häufigkeit von Preisanpassungen in Branche j zum Zeitpunkt t misst. Sie wird in den USA vom Bureau of Labor Statistics erhoben. Sie ist somit ein Indikator für die zentrale Variable von Interesse: der Outputpreisrigidität. X ist ein Vektor von Kontrollvariablen auf Ebene der Firma i zum Zeitpunkt t. Hier werden zum Beispiel das Alter des Unternehmens und ein Quotient aus Nettoeinkommen und der Summe aller Vermögenswerte sowie einige weitere Variablen berücksichtigt. β1 und γ sind die zu HPAj,t und Xi,t gehörigen Koeffizienten. μ ist ein Vektor von Zeit- und ϑ ein Vektor von Brancheneffekten. ε ist der Störterm und beinhaltet die Effekte von unbeobachteten Variablen.
Eine zentrale Bedingung für die Messung von kausalen Effekten mit Hilfe der linearen Regression ist, dass die erklärenden beobachteten Variablen unkorreliert mit dem Störterm sind (Wooldridge 2010, S. 56). In unserem Fall wäre diese Bedingung zum Beispiel dann verletzt, wenn Unternehmen, die häufiger ihre Preise anpassen, im Durchschnitt höhere Ausgaben für Marketingaktivitäten haben und dies einen negativen Effekt auf die Kreditaufschläge hat. Die höhere Häufigkeit von Preisanpassungen würde sich in einem höheren Wert der Variable HPA äußern. Höhere Ausgaben für Marketingaktivitäten werden im vorliegenden Datensatz nicht beobachtet und würden somit den Wert des Störterms ε verringern (aufgrund des negativen Effektes). Infolgedessen wäre die Variable HPA negativ mit dem Störterm ε korreliert und der Koeffizient β wäre unterschätzt, also geringer als der wahre Wert.
Um eine verzerrte Messung des Effekts der Häufigkeit von Preisanpassungen auf Kreditaufschläge zu verhindern, bedienen sich Augustin, Cong, Corhay und Weber (2021) eines natürlichen Experiments. Sie vergleichen den Effekt der Outputpreisrigidität vor und nach dem Konkurs von Lehman Brothers im September 2008.
Aus ihren theoretischen Hypothesen ergibt sich, dass Kreditaufschläge von Unternehmen mit höheren Preisrigiditäten stärker auf Unsicherheiten in den Gewinnerwartungen reagieren als Unternehmen, die ihre Preise flexibel anpassen können (da geringere Einzahlungen gerade dann erfolgen könnten, wenn Preise ineffizient sind). Infolgedessen sollte der Effekt der Outputpreisrigidität kurz nach dem Konkurs von Lehman Brothers auf Kreditaufschläge größer sein als vor der Krise. Sie testen diese Annahme mit Hilfe der folgenden Schätzgleichung:
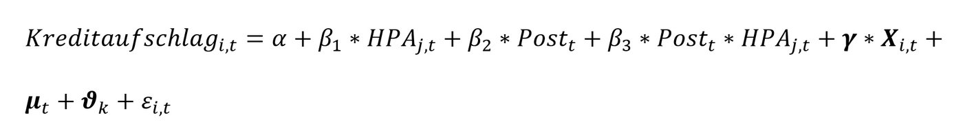
Die Variable Postt stellt hier eine Dummyvariable dar, die nach dem September 2008 den Wert 1 annimmt und davor den Wert 0. β3 misst den Effekt der Interaktionsvariable zwischen HPAj,t und Postt. β3 misst also, ob der Effekt nach dem Konkurs von Lehman Brothers höher ist als zuvor. Die folgende Grafik skizziert den vermuteten Zusammenhang zwischen Outputpreisrigidität und Kreditaufschlägen vor und nach dem Konkurs von Lehman Brothers.
Abb. 01: Vermuteter Zusammenhang zwischen Outputpreisrigidität und Kreditaufschlägen vor und nach dem Konkurs von Lehman Brothers
In der Grafik wird vereinfachend davon ausgegangen, dass es zwei Typen von Unternehmen gibt: Unternehmen mit unflexiblen Outputpreisen und Unternehmen mit flexiblen Outputpreisen. Zu sehen ist, dass sich sowohl für Unternehmen mit flexiblen als auch für Unternehmen mit unflexiblen Preisen die Kreditaufschläge erhöhen. Jedoch ist die Differenz der Kreditaufschläge vor und nach dem Konkurs von Lehman Brothers bei den Unternehmen mit unflexiblen Outputpreisen höher. Diese höhere Differenz ergibt sich aus dem Interaktionseffekt β3.
In ihrer Studie konnten Augustin, Cong, Corhay und Weber (2021) ihre Hypothesen bestätigen: Unternehmen mit höheren Outputpreisrigiditäten müssen höhere Kreditaufschläge in Kauf nehmen. Dieser Effekt wird in der Grafik durch β1*∆HPA dargestellt. Zudem stieg diese Differenz nach dem Konkurs von Lehman Brothers noch einmal an, da Unsicherheiten durch den Konkurs den Effekt von Outputpreiselastizitäten noch einmal erhöhten (beschrieben in der Grafik durch β3*HPA). In einem weiteren Test konnte zudem belegt werden, dass der Effekt des Konkurses von Lehman Brothers eine Dauer von zwei Jahren hatte (in der hier beschriebenen Darstellung wurde zur einfacheren Darstellung eine Abmilderung des Effektes über die Zeit nicht berücksichtigt).
Wie hilft uns nun dieser Vergleich für die Identifikation des kausalen Effekts von Outputpreisrigiditäten weiter? Zuvor hatten wir argumentiert, dass der Koeffizient β1 durch nicht beobachtete Variablen, die mit der Variable HPA korreliert sind und einen Effekt auf Kreditaufschläge haben, verzerrt sein kann. Als Beispiel wurden Ausgaben für Marketingaktivitäten genannt, von denen wir einen negativen Effekt auf Kreditaufschläge vermuten, und eine positive Korrelation mit der Häufigkeit der Preisanpassungen (HPA). Der Kern des Differenzen-von-Differenzen Ansatzes ist, dass diese Verzerrung sich lediglich auf den Koeffizienten β1 auswirkt, aber nicht auf den Koeffizienten β3. Der Koeffizient β3 ist also unverzerrt und gibt uns gleichzeitig einen Nachweis für einen kausalen Effekt von Outputpreisrigiditäten auf Kreditaufschläge.
Voraussetzung für die Unverzerrtheit von β3 ist, dass die Korrelation der Häufigkeit von Preisanpassungen (HPA) und den unbeobachteten Variablen konstant und nicht in Zusammenhang mit dem Konkurs von Lehman Brothers zu bringen ist (Angrist und Pischke, 2009, S. 227 ff.). Dies impliziert, dass es keine unbeobachteten Trends gibt, die unterschiedlich für Unternehmen mit flexiblen bzw. unflexiblen Outputpreisen sind und Kreditaufschläge beeinflussen.
Zusammenfassung und Ausblick
Der Konkurs von Lehman Brothers im September ist ein Beispiel für ein natürliches Experiment, das für die Messung von kausalen Effekten verwendet werden kann. Man spricht hier von einem Experiment, da durch das Ereignis des Konkurses eine Experimentalgruppe (Unternehmen mit unflexiblen Outputpreisen) und eine Kontrollgruppe (Unternehmen mit flexiblen Outputpreisen) entstanden ist (In der uns vorliegenden Studie wird die Outputpreisrigidität mit einer kontinuierlichen Variable gemessen, d.h. wir unterteilen nicht in eine Experimentalgruppe und eine Kontrollgruppe. Der Ansatz ist aber dennoch anwendbar (Angrist und Pischke, 2009, S. 227 ff.)). Von einem natürlichen Experiment spricht man, da das Ereignis natürlich aufgetreten ist, also unabhängig von den am Experiment interessierten Wissenschaftlern (Angrist und Pischke, 2009, S. 4 ff.).
Die Skizzierung der Studie von Augustin, Cong, Corhay und Weber (2021) hat zum einen gezeigt, dass statistische Analysen problembehaftet sind, wenn sie mögliche Verzerrungen durch nicht beobachtete Daten vernachlässigen. Zum anderen hat sie den Differenz-von-Differenzen-Ansatz illustriert, der eine kausale Interpretation der untersuchten Variablen in diesem Fall ermöglicht. In der vorliegenden Studie wurde gezeigt, dass Unternehmen mit höherer Outputpreisrigidität in Zeiten von Unsicherheit höhere Kreditaufschläge haben.
Finanzinstitute können die vorgestellte Methode nutzen, um Erkenntnisse zu ziehen, die für das eigene Risikomanagement gewinnbringend sind. Auch hier können Ereignisse identifiziert werden, die Kreditaufschläge für eine Experimentalgruppe verändern, aber nicht für die Kontrollgruppe.
Wenn es gelingt, solch ein natürliches Experiment zu identifizieren, könnte man untersuchen, ob Kreditaufschläge effizient gewählt wurden. Kreditaufschläge werden für höhere Risiken höher veranschlagt. Wenn allerdings die Kreditaufschläge so hoch angesetzt werden, dass sie das Kreditausfallrisiko noch weiter erhöhen und zu zusätzlichen Kreditausfällen führen, dann liegt ein kausaler Effekt des Kreditaufschlags auf die Kreditausfallwahrscheinlichkeit vor. In dem Fall wären die Kreditaufschläge nicht effizient und für das Finanzinstitut wäre es vorteilhaft, Kreditaufschläge zu reduzieren oder Kredite mit derart hohen Risiken erst gar nicht zu gewähren.
Natürlich ist hier immer die zentrale Annahme des Differenz-von-Differenzen Ansatzes zu beachten, dass Experimentalgruppe und Kontrollgruppe nicht unterschiedlichen unbeobachteten Trends unterliegen sollen. Wenn die zentralen Annahmen des Ansatzes erfüllt sind, dann sind die Ergebnisse verlässlicher als die von traditionellen ökonometrischen Verfahren.
Quellenverzeichnis und weiterführende Literaturhinweise:
- Angrist, J., Pischke, J. (2009), Mostly Harmless Econometrics, Princeton University Press, Press.
- Arkhangelsky, D., Athey, S., Hirshberg, D., Imbens, G., Wager, S. (2021), Synthetic Difference in Differences, American Economic Review, Vol. 111, No. 12.
- Augustin, P., Cong, L., Corhay, A., Weber, M. (2021), Price Rigidities and Credit Risk, Chicago Booth Research Paper No. 21-14.
- Causal Data Science Meeting (2022), Causal Data Science in Practice, https://www.causalscience.org/blog/causal-data-science-in-practice/, abgerufen am 27.04.2023.
- Fingerlos, R., Golla, G., Pastwa, A. (2020), Gluchowski, R., Risikoreporting in Finanzinstituten, Anforderungen, Konzepte, Prototyping, Springer Gabler.
- Geromichalos, D. (2021), Kasuale Inferenz im OpRisk-Management, RiskNet, https://www.risknet.de/themen/risknews/kausale-inferenz-im-oprisk-management/, abgerufen am 27.04.2023.
- Mealli, F. (2021), Answering causal questions: Angrist, Imbens and the Nobel prize, Significance, Vol. 18, Issue 6.
- Wooldridge (2010), Econometric Analysis of Cross Section and Panel Data, Massachusetts Institute of Technology.
Autoren:
Guido Golla | Deloitte GmbH | Köln
Alexander Mosthaf | Deloitte GmbH | München





