Jakob I. Bernoulli
Jakob I. Bernoulli, (Mit-)entwickler der Wahrscheinlichkeitsrechnung

Nicht nur die Risikomanager wissen, dass es die weissagende Kristallkugel nicht gibt. Der Verlauf des Lebens lässt sich nicht vorhersagen. Trotz alledem wollten Menschen schon immer wissen, wie hoch die Wahrscheinlichkeit ist, dass ein bestimmtes Ereignis eintritt? Wie hoch ist etwa die Wahrscheinlichkeit, dass ein Schiff nach langer und risikoreicher Seefahrt wieder in den Heimathafen zurückkehrt. Wie groß ist die Chance auf Erfolg oder die Gefahr des Misslingens?
Der in Basel geborene Mathematiker Jakob I. Bernoulli (*6. Januar 1655 in Basel; † 16. August 1705 in Basel; Hinweis: das Geburtsdatum bezieht sich auf den Gregorianischen Kalender) hat dafür mit der Entwicklung der Wahrscheinlichkeitsrechnung die wesentlichen Werkzeuge geliefert. Vor allem das von ihm entwickelten Gesetz der großen Zahlen liefert beispielsweise der Versicherungswirtschaft eine wahrscheinlichkeitstheoretische Vorhersage über den künftigen Schadenverlauf: Je größer die Zahl der im (Versicherungs-) Portfolio erfassten Personen oder Sachwerte, die von der gleichen Gefahr bedroht sind, desto geringer ist der Einfluss von Zufälligkeiten. Oder anders formuliert: Das Gesetz der großen Zahlen besagt, dass sich die relative Häufigkeit eines Zufallsergebnisses immer weiter an die theoretische Wahrscheinlichkeit für dieses Ergebnis annähert, je häufiger das Zufallsexperiment durchgeführt wird.
Das Gesetz des großen Zahlen
Das Gesetz des großen Zahlen lässt sich sehr einfach an einem Würfel erklären: Welche Augenzahl im Einzelfall gewürfelt wird ist immer zufällig. So kann die Wahrscheinlichkeit, dass eine Sechs gewürfelt wird, als ein Sechstel angegeben werden. Auf Dauer fällt jedoch jede Zahl gleich häufig. Bernoulli sagt nicht anderes, als dass ich die Treffer auf Dauer gleichmäßig verteilen. In seinem Werk "Ars conjectandi" beschreibt Bernoulli das "Gesetz der großen Zahlen" auf eine sehr anschauliche Art:
"[...] So sind zum Beispiel bei Würfeln die Zahlen der Fälle bekannt, denn es giebt für jeden einzelnen Würfel ebensoviele Fälle als er Flächen hat; alle diese Fälle sind auch gleich leicht möglich, da wegen der gleichen Gestalt aller Flächen und wegen des gleichmässig vertheilten Gewichtes des Würfels kein Grund dafür vorhanden ist, dass eine Würfelfläche leichter als eine andere fallen sollte, was der Fall sein würde, wenn die Würfelflächen verschiedene Gestalt besässen und ein Theil des Würfels aus schwererem Materiale angefertigt wäre als der andere Theil. So sind auch die Zahlen der Fälle für das Ziehen eines weissen oder eines schwarzen Steinchens aus einer Urne bekannt und können alle Steinchen auch gleich leicht gezogen werden, weil bekannt ist, wieviele Steinchen von jeder Art in der Urne vorhanden sind, und weil sich kein Grund augeben lässt, warum dieses oder jenes Steinchen leichter als irgend ein anderes gezogen werden sollte. […] Man muss vielmehr noch Weiteres in Betracht ziehen, woran vielleicht Niemand bisher auch nur gedacht hat. Es bleibt nämlich noch zu untersuchen, ob durch Vermehrung der Beobachtungen beständig auch die Wahrscheinlichkeit dafür wächst, dass die Zahl der günstigen zu der Zahl der ungünstigen Beobachtungen das wahre Verhältniss erreicht, und zwar in dem Maasse, dass diese Wahrscheinlichkeit schliesslich jeden beliebigen Grad der Gewissheit übertrifft, oder ob das Problem vielmehr, so zu sagen, seine Asymptote hat, d. h. ob ein bestimmter Grad der Gewissheit, das wahre Verhältniss der Fälle gefunden zu haben, vorhanden ist, welcher auch bei beliebiger Vermehrung der Beobachtungen niemals überschritten werden kann, zum Beispiel dass wir niemals über 1/2, 2/3 oder 3/4, der Gewissheit hinaus Sicherheit erlangen können, das wahre Verhältniss der Fälle ermittelt zu haben. [...]“
Ein mit schwarzen und weißen Kieseln gefüllter Krug
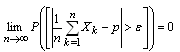
Ausgangspunkt von Bernoullis Untersuchungen zur Wahrscheinlichkeitsrechnung war die Vorstellung eines mit schwarzen und weißen Kieseln gefüllten Kruges, wobei das Verhältnis von schwarzen zu weißen Kieseln oder gleichbedeutend das Verhältnis der Anzahl der schwarzen zur Gesamtanzahl der Kiesel im Krug, p:1, unbekannt sei. Es ist offensichtlich, dass die Methodik des Abzählens sehr aufwendig ist. Daher war Bernoulli auf der Suche nach einem empirischen Weg das tatsächliche Verhältnis von schwarzen und weißen Kieseln im Krug zu ermitteln. Hierzu wird ein Kiesel aus dem Krug genommen, bei einem schwarzen die Zahl 1, bei einem weißen die Zahl 0 notiert, und der Kiesel wieder in den Krug zurückgelegt. Offenbar sind die Ziehungen Xk unabhängig voneinander, und wir können davon ausgehen, dass die A-priori-Wahrscheinlichkeit P([Xk = 1]), dass ein Kiesel bei einer beliebigen Ziehung schwarz ist, gerade p ist, also P([Xk = 1]) = p. Bernoulli schließt nun, dass mit einer hohen Wahrscheinlichkeit das Verhältnis
der Anzahl der gezogenen schwarzen Kiesel zur Gesamtzahl der Ziehungen von dem tatsächlichen, aber unbekannten Verhältnis p nur geringfügig abweicht, sofern nur die Gesamtzahl der Ziehungen hoch genug ist. Diese von Bernoulli entdeckte Gesetzmäßigkeit wird heute als das "schwache Gesetz der großen Zahlen" bezeichnet und lautet formal 
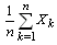
wobei ε eine beliebig kleine positive Zahl sei. Obwohl sich das von Bernoulli gefundene Resultat noch weiter verschärfen lässt zu dem sogenannten "starken Gesetz der großen Zahlen", welches besagt, dass das arithmetische Mittel
mit wachsendem Wert n fast sicher gegen die gesuchte Verhältnisgröße p konvergiert, wohnt diesen Gesetzen ein großer Nachteil inne – wir wissen fast nichts über die Güte der betrachteten Stichprobe.

Kunst der Vermutung
Schließlich fasst Jakob Bernoulli Stochastik nicht nur als Glücksspielrechnung, sondern als Kunst der Vermutung (so lautet auch der lateinischee Titel von "Ars Conjectandi") auf:
"[...] Wenn also alle Ereignisse durch alle Ewigkeit hindurch fortgesetzt beobachtet würden (wodurch schliesslich die Wahrscheinlichkeit in volle Gewissheit übergehen müsste), so würde man finden, dass Alles in der Welt aus bestimmten Gründen und in bestimmter Gesetzmässigkeit eintritt, dass wir also gezwungen werden, auch bei noch so zufällig erscheinenden Dingen eine gewisse Nothwendigkeit, und sozusagen ein Fatum anzunehmen. Ich weiss nicht, ob hierauf schon Plato in seiner Lehre vom allgemeinen Kreislaufe der Dinge hinzielen wollte, in welcher er behauptet, dass Alles nach Verlauf von unzähligen Jahrhunderten in den ursprünglichen Zustand zurückkehrt. [...]"
Mit anderen Worten: Die scharfsinnige "Kunst des Vermutens" sollte dann eingesetzt werden, wenn unser Denken nicht mehr ausreicht, um uns die ausreichende Gewissheit bei einem zu Grunde liegenden Sachverhalt zu vermitteln.
In den Jahren 1676 bis 1682 reiste Jakob Bernoulli durch Deutschland, England, Frankreich, Holland und durch die Schweiz, um sich mit bedeutenden Naturforschern (wie etwa J. Huddle, R. Boyle und R. Hooke) zu treffen. Nach seiner Rückkehr hielt er Vorlesungen in Basel über Experimentalphyik. Als im Jahr 1687 der Lehrstuhl für Mathematik an der Universität Basel frei wurde, übertrug man diesen Jakob Bernoulli, den er bis zu seinem Tode innehatte.

Verwandelt kehr ich als dieselbe wieder
Fasziniert war Jakob Bernoulli bis zu seinem Tod insbesondere von den Eigenschaften einer logarithmischen Spirale. Hierbei handelt es sich um eine Spirale, die mit jeder Umdrehung den Abstand von ihrem Mittelpunkt, dem Pol, um den gleichen Faktor vergrößert. In umgekehrter Drehrichtung schlingt sich die Kurve mit abnehmendem Radius immer enger um den Pol.
Noch heute kann man im Kreuzgang des Münsters zu Basel eine Spirale auf dem Grabstein von Jakob Bernoulli sehen. Der Erzählung nach war es ein Wunsch Jakob Bernoullis, dass seine geliebte logarithmische Spirale mit der Inschrift "eadem mutata resurgo" ("Verwandelt kehr ich als dieselbe wieder" auf seinen Grabstein eingemeißelt werden sollte. Bei genauerer Betrachtung des Grabsteins fällt jedoch auf (siehe Abbildung oben), dass es sich nicht um eine logarithmische Spirale, sondern vielmehr um eine Archimedische Spirale handelt. Vermutlich wusste der Steinmetz es nicht besser.
Autor: Frank Romeike
Download:
Romeike, Frank (2007): Jakob Bernoulli (Köpfe der Risk-Community), in: RISIKO MANAGER, Ausgabe 1/2007, Seite 12-13.
Weiterführende Literaturhinweise:
- Bernoulli, J. (1899): Wahrscheinlichkeitsrechnung (Ars conjectandi), Dritter und vierter Theil. Übers. und hrsg. von R. Haussner (Ostwalds Klassiker der exakten Wissenschaften), Leipzig 1899.
- Bernstein, P. L. (1997): Wider die Götter – Die Geschichte von Risiko und Risikomanagement von der Antike bis heute, München 1997.
- Romeike, F. (2007): Jakob Bernoulli (Köpfe der Risk-Community), in: RISIKO MANAGER, Ausgabe 1/2007, Seite 12-13.
- Romeike, F./Hager, P. (2013): Erfolgsfaktor Risk Management 3.0 – Methoden, Beispiele, Checklisten: Praxishandbuch für Industrie und Handel, 3. Auflage, Wiesbaden 2013.


